Trig Substitution Practice Problems And Solutions Pdf
More trig substitution with tangent. Your instructor might use some of these in class.
Solutions to Differentiation problems PDF Solutions to Integration Techniques problems PDF This problem set is from exercises and solutions written by.

Trig substitution practice problems and solutions pdf. Let x sin then dx cos. First rewrite the function Recall that getting. Trig and u substitution together part 1 Trig and u substitution together part 2 Trig substitution with tangent.
Show that in a convex quadrilateral the bisector of two consecutive angles forms an angle whose measure is equal to half the sum of the measures of the other two angles. Use trig substitution to show that R p1 1 x2 dx sin 1 xC Solution. Show that the surface of a convex pentagon can be decomposed into two quadrilateral surfaces.
49t52 1 4 9 t 5 2 1 Solution. Problem PDF Solution PDF Recitation Video. Solution to Problem 2.
Example Z x3 p 4 x2 dx I Let x 2sin dx 2cos d p 4x2 p 4sin2 2cos. Z secxdx Z secx secx tanx secx tanx dx Z. 932 sqrt93 33 27 This is a well-known trigonometric identity.
You can try more practice problems at the top of this page to help you get more familiar with solving integral using trigonometric substitution. Introduction to trigonometric substitution. SOLUTIONS TO TRIGONOMETRIC INTEGRALS SOLUTION 1.
Rewrite the second integral and use trig identity F again. To integrate the quotient of two polynomials we use methods from inverse trig or partial fractions. If you cant you may have to do some preprocessing of the problem.
ˇ 2 ˇ 2 dx acos d p a 22x p a2 a2 sin ajcos j acos since ˇ 2 ˇ 2 by choice. 7t2 35 2 7 t 2 3 5 2 Solution. Substitute into the original problem replacing all forms of getting Use antiderivative rule 2 from the beginning of this section.
Trig Integrals Solutions Written by Victoria Kala vtkalamathucsbedu November 9 2014 The following are solutions to the Trig Integrals practice problems posted on November 9. Solution to Problem 4. You may also use any of these materials for practice.
Substitution with xsin theta More trig sub practice. I R px 3dx 4 2x R 8sin 2cos d 2cos. For problems 1 8 use a trig substitution to eliminate the root.
Is a2 x2 in your integral. Z 1 p 1 2x2 dx Z 1 p 1 sin cos d Z cos cos d Z d. The chapter headings refer to Calculus Sixth Edition by Hughes-Hallett et al.
On the first integral use u-substitution. Let so that or. Now use trig identity F from the beginning of this section.
Click HERE to return to the list of problems. Trig Substitution Written by Victoria Kala email protected November 9 2014 The following are solutions to the Trig Substitution practice problems posted on November 9. Trig Substitutions For problems 1 15 use a trig substitution to eliminate the root.
Trigonometric SubstitutionIntegrals involving q a2 x2 Integrals involving p x2 a2 Integrals involving q x2 a2 Integrals involving p a2 x2 We make the substitution x asin. Math 129 - Calculus II. Example of Trig Substitution Download from iTunes U MP4 - 107MB Download from Internet Archive MP4 - 107MB.
Trig Substitution Quick Recap. Substitution Note that the problem can now be solved by substituting x and dx into the integral. Is a2 x2 in your integral.
Trig Substitution Introduction Trig substitution is a somewhat-confusing technique which despite seeming arbitrary esoteric and. Tan2 θ 1 sec2 θ So we have. In this section we explore the techniques needed to solve more complex trig equations.
Heres a number example demonstrating this expression. We have successfully used trigonometric substitution to find the integral. Section 1-3.
Click HERE to return to the list of problems. Let so that or. W32 100 w 3 2 100 Solution.
Building off of what we already know makes this. The process for nding integrals using trig substitution P1Try to t your problem to one of the patterns a 2 x x2 a2 or x2 a. Use trig substitution to show that R p1 1 x2 dx sin 1 xC Solution.
49z2 4 9 z 2 Solution. Solution to Problem 3. 1325x2 13 25 x 2 Solution.
Whats Next Ready to dive deeper. The following is a list of worksheets and other materials related to Math 129 at the UA. If we find a translation of θ 2that involves the 1-x 12 term the integral changes into an easier one to work with.
Flash and JavaScript are required for this feature. Let x sin then dx cos. The intent of these problems is for instructors to use them for assignments and having solutionsanswers easily available defeats that purpose.
Well do partial fractions on Tuesday. Well need to use the following. Section 71 Solving Trigonometric Equations with Identities In the last chapter we solved basic trigonometric equations.
When the integral is more complicated than that we can sometimes use trig subtitution. However there is a simpler method. This is an integral you should just memorize so you dont need to repeat this process again.
Z 1 p 1 2x2 dx Z 1 p 1 sin cos d Z. We make the first substitution and simplify the denominator of the question before proceeding to integrate. Trig Substitution Written by Victoria Kala vtkalamathucsbedu November 9 2014 The following are solutions to the Trig Substitution practice problems posted on November 9.

This Three Part Worksheet Contains Practice For All Types Of Integration Methods In Ap Calculus Bc The Three Parts Are As Ap Calculus Calculus Ap Calculus Ab

Selina Concise Mathematics Class 6 Icse Solutions Chapter 20 Substitution Learn Cram Icsesolutions Concisemathsc Mathematics Class 6 Learning Mathematics

Quadratic Formula College Math Studying Math Basic Math

Calculus Definite Integration Fun Maze And Worksheet Calculus Ap Calculus Ab Ap Calculus

Circuit Training Volumes Of Rotation Calculus Ap Calculus Calculus Rotation Revolution
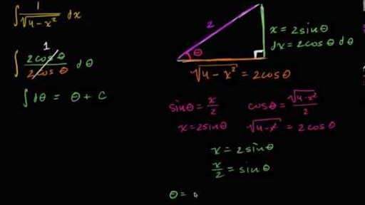
Trigonometric Substitution Practice Khan Academy

Angles And The Unit Circle She Loves Math Math Formulas Trigonometric Functions Trigonometry

Ap Calculus Mr Hickman S Class 2020 2021

Limit Definition Of Definite Integral By Rebecka Peterson Teachers Pay Teachers Calculus Ap Exams Definitions

Solving Systems Of Equations By Elimination Maze Advanced Systems Of Equations Algebra Resources Middle School Math Teacher
Trigonometric Substitution Practice Khan Academy
![]()
Integration By Trigonometric Substitution Trig Sub Calculus Bc 2

Circuit Training Derivatives Of Inverse Trig Functions Calculus Calculus Guided Notes Chain Rule

Trigonometric Substitution Examples Solutions Videos
U Substitution Indefinite Integrals Practice Khan Academy

Your Calc Bc Students Will Find An Antiderivative And Use A Tabular Method To Perform Integration By Parts In T Smart Board Lessons Ap Calculus Ab Ap Calculus

Trigonometric Substitution Practice Khan Academy
Substitution Method Review Systems Of Equations Article Khan Academy
