How To Find Delta X In Physics
Although this problem looks a lot like example 7 the v o t term does not disappear which makes this a whole different ball game. By error propagation then you can find Δ p think like deriving p with respect to K.
Video Transcript Translational Motion Velocity And Speed
Entering this value for V A B and the plate separation of 00400 m we obtain.
How to find delta x in physics. Two position vectors are drawn from the center of Earth which is the origin of the coordinate system with the y-axis as north and the x-axis as east. T graph is the change in position or the displacement. Online physics calculators for motion in a straight line under constant acceleration.
Hookes Law In the diagram below is shown a block attached to a spring. So replacing delta x with the right side of the above equation we get yet another form for our displacement equation. Combine equations to get.
The vector between them is the displacement of the satellite. Δ p m e 2 K Δ K. When you divide y by x you get the slope of the graph between the points which tells you how fast x and y are changing wth respect to each other.
Both the vertical motion and the horizontal motion end at the same time therefore solving for time in the x direction solves for. LatexDelta thetalatex Δsr. The delta between the x values of these points x is given by x 2 - x 1 and y for this pair of points is y 2 - y 1.
Since the electron is a single charge and is given 250 keV of energy the potential difference must be 250 kV. For one complete revolution the rotation angle is 2π. Doing a bit of algebra rearranging adding x o to each side we can solve for the final position which gives our last equation its more formal presentation.
This is called the Initial Velocity. Δ K a K. Thus the total energy subtract that is less than ℏ 2 λ 2 8 m a 2.
Depending on the situation delta-v can be either a spatial vector Δv or scalar ΔvIn either case it is equal to the acceleration vector or scalar integrated over time. Km ˆj rt2 6770. Before x and y are calculated it is necessary to know how fast the projectile is moving as it leaves the shooter.
The rotation angle is the amount of rotation and is analogous to linear distance. Displacement change in position delta x Δx 36 m The area of the v vs. The displacement or change in position for this object is 36 meters.
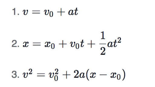
What we have is a quadratic equation in In some situations you may be able to solve this equation by factoring but more likely you will have to resort to using the quadratic formula. Delta x v_0cos theta t Δx v0 cosθt since we are asked to find the total distance from launching to striking point xy-200 rm m x y 200m which is the range of projectile so the total time of flight is required which is obtained as below. Average velocity Velocity as a function of initial velocity acceleration and time Displacement as a function of velocity and time Displacement as a function of initial velocity acceleration and time.
You know also the accuracy α of measurement and therefore the uncertainty Δ K. In general physics delta-v is a change in velocityThe Greek uppercase letter Δ delta is the standard mathematical symbol to represent change in some quantity. DfracDelta xDelta t dfracx_f - x_it_f.
In position B a force F is used to compress the spring by a length equal to Δ x by pushing the block to the left. So you know Δ p p. In position A the spring is at rest and no external force acts on the block.
The kinematics equation that relates vo a and is. Kmcos 45 ˆi. The expression for the magnitude of the electric field between two uniform metal plates is.
Finally using uncertainty principle you will get Δ. We define the rotation angle latexDelta thetalatex to be the ratio of the arc length to the radius of curvature. 7336 E V A B d.
Since for xa both delta functions are positive it implies that the second term corresponding to the two delta functions δ x a and δ x a in the schrodinger equation are 0.

What Is Displacement Article Khan Academy
Displacement Acceleration Equation Zona Land Education
What Are The Kinematic Formulas Article Khan Academy
Video Transcript Free Fall In Translational Motion
Physics Equations Kinematics Wikiversity
When Delta T Tends To Zero Then The Average Velocity Delta V Approaches The Velocity V How Quora
Video Transcript Free Fall In Translational Motion
Displacement Acceleration Equation Zona Land Education
Video Transcript Translational Motion Velocity And Speed

Heisenberg Uncertainty Principle Defined As Delta X Delta P X Geq H Versus Delta X Delta P X Geq Hbar 2 Physics Stack Exchange
Motion With Constant Acceleration Review Article Khan Academy
Video Transcript Translational Motion Velocity And Speed
Projectile Motion Lab Physics By B Karpowicz
What Are The Kinematic Formulas Article Khan Academy

Delta Symbol And Its Meaning In Maths Lowercase Delta
Video Transcript Free Fall In Translational Motion